nvironmental injustice disproportionately affects communities with certain characteristics such as ethnicity, low-income, old age, education, rurality, etc. These communities tend to have more environmental issues, like poor water quality, polluted air, inadequate housing, and limited access to nutritious food. This is a serious problem in the US because of its scale and negative health effects. It is also unacceptable because of how unfairly communities share these burdens. The following statistics give more insight into the issue.

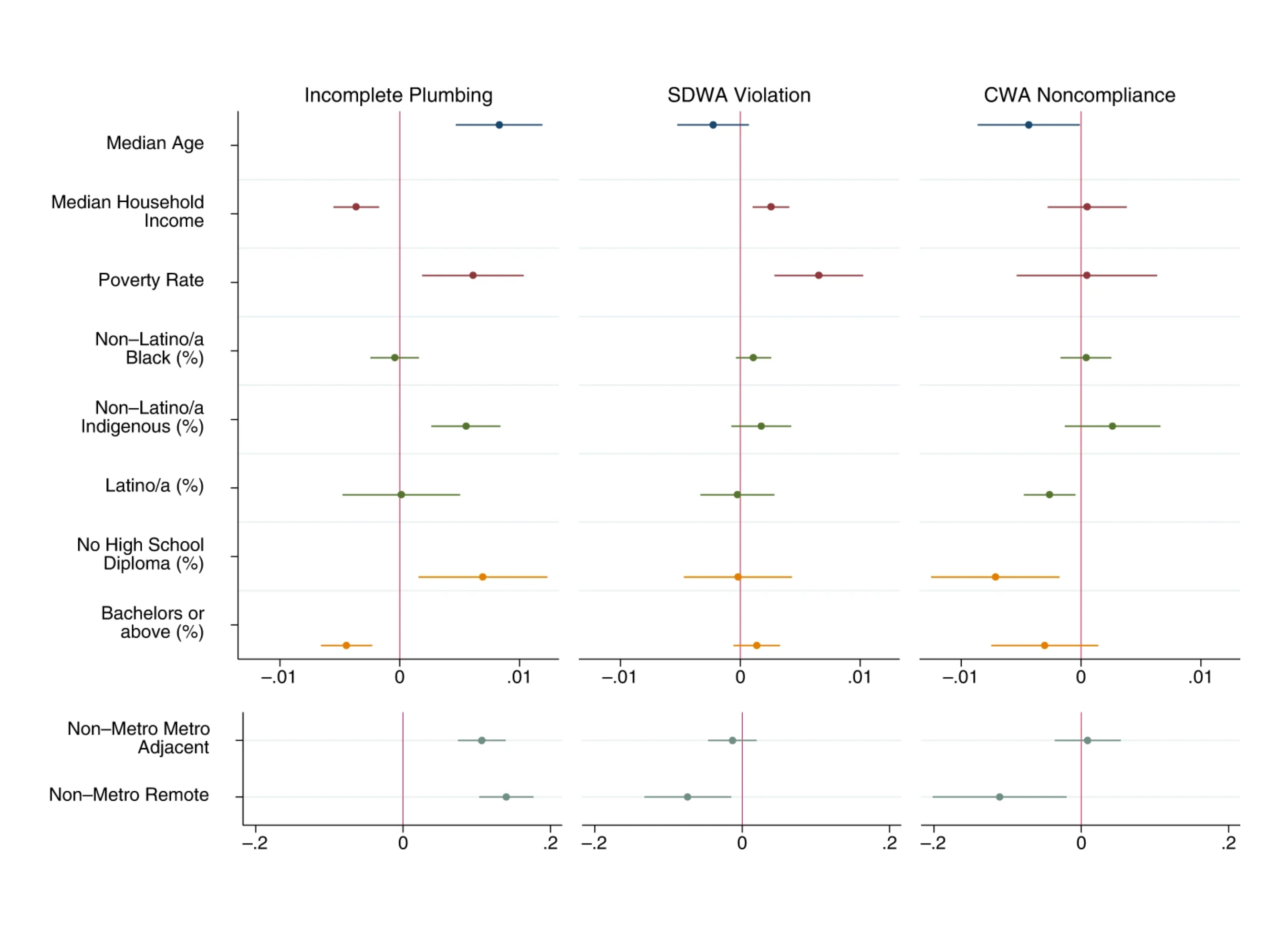
This graph plots different variables, like poverty rate or percent of indigenous people, against its corresponding p-value with incomplete plumbing, SDWA violations, and CWA noncompliance. A p-value < 0.05 is strong evidence that the relationship between variables is not a coincidence (Mueller).
- As shown in the graph, factors such as rurality, age, education, or ethnicity, are shown to be strong indicators for certain environmental problems like poor water quality or air pollution.
- In 39 states, about 490,000 homes have incomplete plumbing (Mueller).
- Minorities experienced 66% more air pollution than the white population (Holden)
- 3 of every 5 African and Hispanic Americans lived in communities with uncontrolled waste sites (Wikipedia)
- Refer to the sources section to learn more